Do tình hình biến động về giá nhiên liệu (xăng A95 – III), nay Bệnh viện Đa khoa Bà Rịa thông báo:
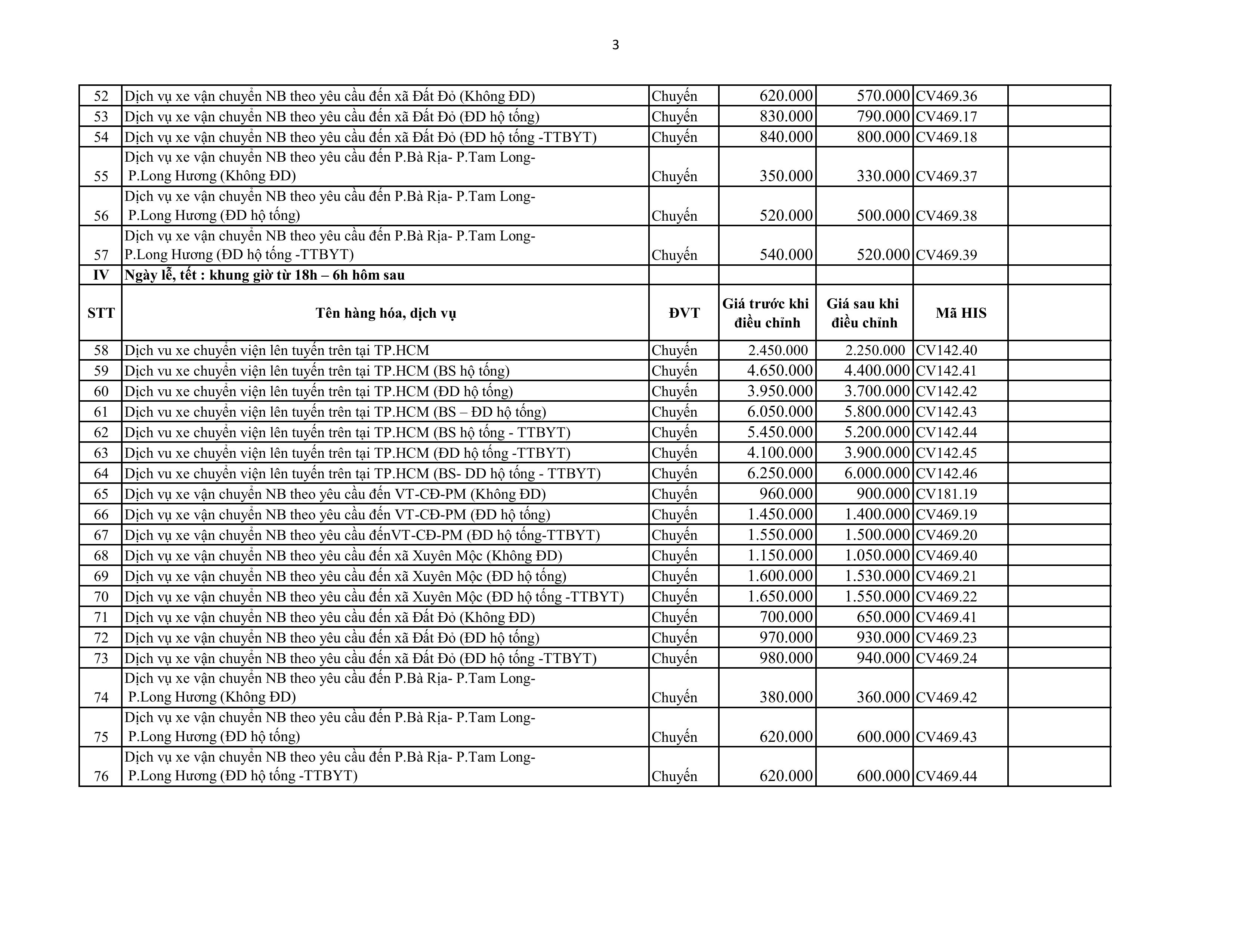
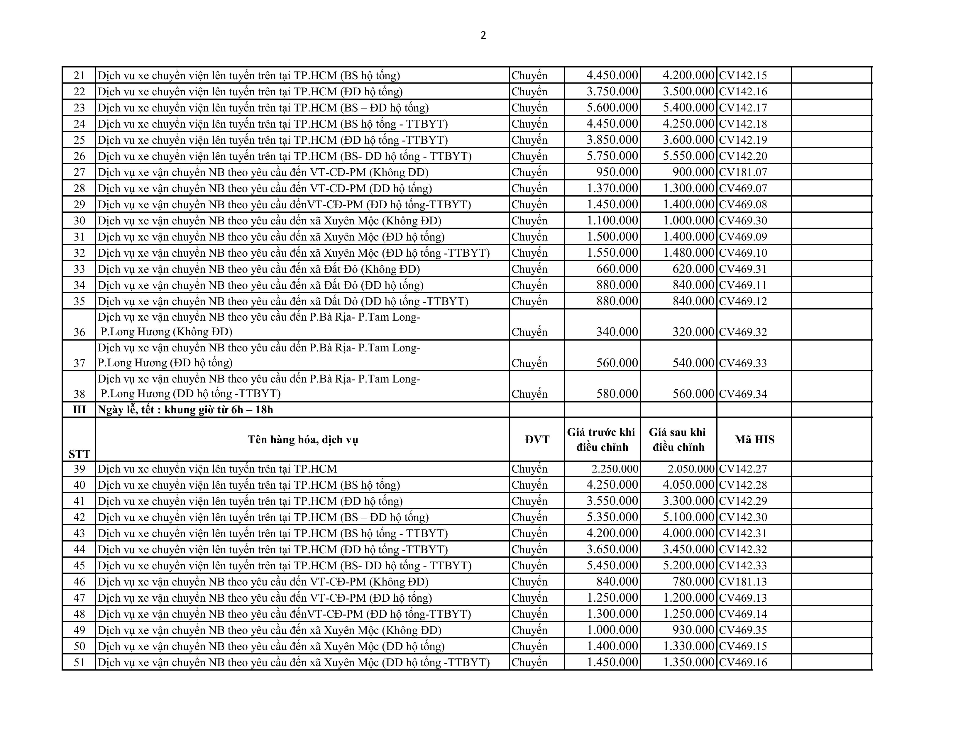
- Bệnh viện Đa khoa Bà Rịa điều chỉnh bảng giá dịch vụ vận chuyển người bệnh, dịch vụ chuyển viện theo yêu cầu (đính kèm giá dịch vụ vận chuyển người bệnh, chuyển viện theo yêu cầu).
- Thời gian áp dụng: Từ ngày 01/4/2026.
- Trong thời gian áp dụng bảng giá mới, nếu có biến động về giá nhiên liệu, bệnh viện sẽ có thông báo điều chỉnh kịp thời cho phù hợp với tình hình thực tế.
Bệnh viện Đa khoa Bà Rịa trân trọng thông báo./.
(Xem chi tiết Danh mục giá tại file đính kèm.)

